陈润森团队最新研究:揭示不同校园欺凌角色与类型对青少年心理-认知-脑发展的影响
校园欺凌对参与双方的身心健康均造成了长期的负面影响,根据联合国教科文组织统计研究所(UIS)2022年发布的数据显示,全世界几乎有三分之一的青少年参与过校园欺凌。校园欺凌问题亟须得到更多的关注。

本研究旨在大规模队列(ABCD Study)中探讨校园欺凌对青少年参与双方(受欺凌者与施暴者)心理-认知-脑发展的影响,以及不同欺凌亚型所表征的特异性心理-认知模式,从而为校园欺凌的预防和干预提供理论指导。
同龄人欺凌(peer bullying)是指在一个人(施暴者)有意地利用其在某种方面的优势地位,对另一个人(受害者)进行反复的攻击,这种攻击存在权力的不平衡。欺凌可以划分为不同的亚型,包括身体欺凌(overt bullying),关系欺凌(relational bullying)及名誉欺凌(reputational bullying)。欺凌在相当程度上损害了施暴者和受害者双方的心理社会功能,其长期影响可以持续到成年以后。

该研究使用了基于2018年7月至2021年1月期间儿童青少年脑与认知发展队列研究(ABCD Study)所收集到的数据。该研究的主要目的是考察校园欺凌施暴经历/受害经历与儿童青少年1)自杀和非自杀性自伤风险;2)执行功能和记忆,包括注意抑制、处理速度、情绪工作记忆和外显记忆;3)脑结构;以及4)静息态脑功能连接的关联。研究发现
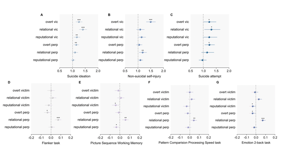
本研究共纳入了5819名年龄在10至13岁的参与者。研究发现,在调整了社会人口学因素之后,施暴经历/受害经历及其亚型(即身体欺凌、关系欺凌和名誉欺凌)与青少年较高的自杀意念、自杀尝试和非自杀性自伤风险相关。同时,受害经历与情景记忆缺陷表现出了密切相关。
值得注意的是,不同的欺凌亚型表征了不同的心理-认知模式。关系施暴经历与青少年的执行功能和外显记忆表现出了显著正相关,而身体施暴经历则呈现出了完全相反的模式。我们的研究提示,未来的欺凌干预措施应考虑到不同欺凌亚型所表现出的不同心理认知模式,并将目标群体细分为不同的亚型,以针对不同人群的特殊需求制定相应的预防策略,这可能会在相当程度上提高传统干预方案的效力。具体而言,直接针对执行功能缺陷的认知训练可能对施行身体欺凌的施暴者有一定助益,但这种方法却不能直接迁移至施行关系欺凌的施暴者。相反,现有的干预措施需要试图将他们的良好认知技能引导至亲社会行为上。
此外,我们的研究还发现,施暴经历和受害经历可能导致青少年脑结构和功能连接的改变。其中,受害经历还与中央旁回皮层(Paracentral Cortex)和后扣带皮层(posterior cingulate cortex)的大脑结构改变有关。同时,受害经历还与默认网络(default mode network)和背侧注意网络(dorsal attention network)之间、默认网络和额顶网络(frontal-parietal network)之间,以及腹侧注意网络(ventral attention network)相关的功能连接改变有关。施暴经历则与注意网络和感觉运动手部网络(sensorimotor hand network)之间的功能连接改变相关。上述神经机制的改变可能对青少年的认知功能产生深远的影响,导致多种心理问题和行为问题的出现。1-9因此,深入探究欺凌相关的神经生物学机制,有助于了解欺凌发生发展的机制,从而为欺凌相关的心理治疗和干预提供理论指导。

欺凌与青少年心理-认知的关联



联合国儿童基金会呼吁:“No child should ever have to experience violence”,然而,现有的校园欺凌预防和干预方案效果仍存在一定程度的局限性,需要采取更全面的考虑,如基于不同的欺凌亚型制定相应的预防干预措施。为了实现这个目标,我们建议为学生和教职员工提供多样化的教育内容和培训课程、介绍欺凌及其不同亚型对心理和认知发展的不良影响,学习如何处理欺凌事件。同时,我们建议对欺凌相关的神经生物学机制进行更加深入的探究,为相关的心理治疗和干预提供理论指导。最后,我们建议家庭、学校、社会对欺凌参与双方(包括施暴者和受害者)均给予额外的关注和心理支持,以减少欺凌经历对青少年心理-认知-脑发展造成的不良影响。
原文链接
//bmcmedicine.biomedcentral.com/articles/10.1186/s12916-023-02808-8
[1] Xia CH, Ma Z, Ciric R, Gu S, Betzel RF, Kaczkurkin AN et al. Linked dimensions of psychopathology and connectivity in functional brain networks. Nat Commun 2018; 9: 1–14.
[2] Sha Z, Wager TD, Mechelli A, He Y. Common dysfunction of large-scale neurocognitive networks across psychiatric disorders. Biol Psychiatry 2019; 85: 379–388.
[3] Lees B, Squeglia LM, McTeague LM, Forbes MK, Krueger RF, Sunderland M et al. Altered Neurocognitive Functional Connectivity and Activation Patterns Underlie Psychopathology in Preadolescence. Biol Psychiatry Cogn Neurosci Neuroimaging 2021; 6: 387–398.
[4] Posner J, Cha J, Wang Z, Talati A, Warner V, Gerber A et al. Increased default mode network connectivity in individuals at high familial risk for depression. Neuropsychopharmacology 2016; 41: 1759–1767.
[5] Pu W, Luo Q, Jiang Y, Gao Y, Ming Q, Yao S. Alterations of brain functional architecture associated with psychopathic traits in male adolescents with conduct disorder. Sci Rep 2017; 7: 1–11.
[6] Sun L, Cao Q, Long X, Sui M, Cao X, Zhu C et al. Abnormal functional connectivity between the anterior cingulate and the default mode network in drug-naïve boys with attention deficit hyperactivity disorder. Psychiatry Res Neuroimaging 2012; 201: 120–127.
[7] Hu M-L, Zong X-F, Mann JJ, Zheng J-J, Liao Y-H, Li Z-C et al. A review of the functional and anatomical default mode network in schizophrenia. Neurosci Bull 2017; 33: 73–84.
[8] Whitfield-Gabrieli S, Fischer AS, Henricks AM, Khokhar JY, Roth RM, Brunette MF et al. Understanding marijuana’s effects on functional connectivity of the default mode network in patients with schizophrenia and co-occurring cannabis use disorder: A pilot investigation. Schizophr Res 2018; 194: 70–77.
[9] Wainberg M, Jacobs GR, Voineskos AN, Tripathy SJ. Neurobiological, familial and genetic risk factors for dimensional psychopathology in the Adolescent Brain Cognitive Development study. Mol Psychiatry 2022; 27: 2731–2741.